CULTURAL TRADITIONS OF JUG SHAPES AMONG DON ALANS
- Authors: Sukhanov E.V.
- Issue: Vol 16, No 3 (2020)
- Pages: 639-660
- URL: https://caucasushistory.ru/2618-6772/article/view/1606
- DOI: https://doi.org/10.32653/CH163639-660
Abstract
Jugs are the most extensive category of earthenware from catacomb burial grounds of the Saltovo-Mayaki culture. They have the greatest variety of shapes among others types of ceramics. Thе present article is devoted to the study of the 211 jug shapes from six catacomb burial grounds of the Saltovo-Mayaki culture. The methodology is based on the historical-and-cultural approach to the study of vessel shapes, developed by A. A. Bobrinsky and supplemented by his modern followers. The aim of the study is to emphasize specific cultural traditions of pottery manufacture in different catacombs of the Saltovo-Mayki culture, as well as to consider such traditions among other populations that left burial mounds, and compare their historical and cultural interpretation.
Based on the comparative analysis of traditions of jug shapes, the catacomb burial grounds studied here are divided into two groups. The core of the first group is formed by Dmitrievsky and Nizhnelubyansky burial grounds. Podgorovsky burial ground has many similarities with sites listed above. The second group consists of Starosaltovsky, Rubezhansky and Yutanovsky burial grounds.
The grouping of burial grounds based on the traditions of jug shapes is fully consistent with their belonging to one of the two burial traditions of the Saltovo-Mayaki culture, which, according to G.E. Afanasyev, associated with different tribal groups of the Don Alans. Thus, different mass traditions of jug shapes, recorded in the Saltovo-Mayaki catacombs, have quite specific cultural and historical content. Such traditions indicate the skill differences among potters from different Alan tribal groups who settled in the middle – second half of the 8th century in the Middle Don basin, as well as the peculiarities of ideas about the exterior of vessels that existed in these communities.
Постановка проблемы
Кувшины – наиболее многочисленная категория глиняной посуды в катакомбных могильниках салтово-маяцкой культуры [1, с. 45]. Среди всех категорий лощеной посуды кувшины характеризуются наибольшим разнообразием форм. Исследователи неоднократно отмечали сложность морфологической классификации этого материала, что является следствием их разнообразия и «нестандартности» [1, с. 44-45; 2, с. 121]. Причины такого разнообразия форм лощеных сосудов пока остаются неизученными.
Основной задачей данного исследования является попытка выяснить, может ли отмеченное разнообразие форм кувшинов быть связано с разными гончарными традициями носителей салтово-маяцкой культуры.
Для решения этой задачи необходимо реконструировать конкретные культурные традиции создания таких форм сосудов, распространенных у донских алан. Хорошо известно, что кувшины – это наиболее массовая категория посуды в катакомбных могильниках по сравнению с кружками, кубышками или корчагами. Поэтому для выделения разных культурных традиций донских алан разумнее опираться именно на эту категорию посуды.
В статье рассматриваются два вопроса:
1) Выделение массовых культурных традиций создания форм кувшинов на разных катакомбных могильниках салтово-маяцкой культуры;
2) Сравнение этих культурных традиций у коллективов, оставивших разные могильники, и историко-культурная интерпретация различий между ними.
Источники и методика
В статье рассматриваются доступные автору материалы салтово-маяцких памятников, расположенных в долинах рек Северский Донец и Оскол. Это микрорегионы с наибольшей плотностью погребальных памятников салтово-маяцкой культуры в донской лесостепи. Здесь известно 8 катакомбных могильников. Из них в работе использованы материалы 6 (рис. 1), кроме Афоньевского и Верхнесалтовского могильников. На Афоньевском могильнике изучена только одна катакомба. Материалы Верхнесалтовского могильника в большинстве своем не доступны для полноценного изучения. Этот вопрос уже обсуждался в литературе [3, c. 82]. Верхнесалтовский археологический комплекс, расположенный на территории Харьковской области, включает несколько катакомбных некрополей. Так сложилось, что для изучения сегодня доступны в основном материалы относительно недавних раскопок, но в настоящее время это сделать невозможно. Некоторые катакомбы, раскопанные на Верхнесалтовском могильнике, благодаря усилиям В.С. Аксёнова, постепенно вводятся в научный оборот. Однако совершенно очевидно, что тот небольшой объем керамического материала, который
издан, недостаточен для того, чтобы делать на его основании какие-то историко-культурные выводы о таком огромном археологическим комплексе, которым является Верхний Салтов.
Источниковую базу данной работы составили 211 кувшинов, среди которых 134 из Дмитриевского, 26 из Нижнелубянского, 17 из Подгоровского, 15 из Ютановского, 10 из Старосалтовского и 9 из Рубежанского могильников. Большинство материалов изучалось по фотографиям и рисункам, сделанным автором статьи. По опубликованным рисункам изучались сосуды Старосалтовского и Рубежанского могильников в Харьковской области [4, 5].
При изучении лощёной глиняной посуды салтово-маяцкой культуры использована методика изучения форм глиняных сосудов, разработанная в рамках историко-культурного подхода [6].
В соответствии с этой методикой, для анализа используются строго фронтальные фотографии сосудов, в исключительных случаях – рисунки. На подготовительном этапе естественная асимметрия формы устраняется путем построения среднего контура для каждого сосуда. После этого каждый сосуд размечается на функциональные части. Для решения этой задачи на контуре сосуда нужно найти места приложения точечных усилий гончара, которые обеспечивают переход от одной части сосуда к другой. Поиск таких точек проводится с помощью круговых шаблонов разного диаметра.
После разметки сосудов начинается аналитический этап. В рамках используемой методики форма каждой функциональной части сосуда может характеризоваться двумя параметрами: общая пропорциональность и угол наклона боковой линии костяка. Общая пропорциональность отвечает за общее соотношение высотных и широтных параметров той или иной части сосуда. Вычисляется как соотношение высоты части к полусумме оснований. Угол наклона измеряется по наклону линии, проведенной между точками, выделяющими конкретную функциональную часть по левой, либо правой половине контура сосуда.
В этой статье я буду придерживаться тех процедур анализа, которые уже применялись мною при изучении материалов Дмитриевского [7] и Ютановского могильников1. Опыт работы с формами лощеной посуды этих памятников показал, что для тулова и шеи кувшинов наиболее показательными являются различия по общей пропорциональности, а не по углам наклона. Обратная ситуация отмечена для плеча-предплечья – здесь наиболее существенными оказались различия не по общей пропорциональности, а по углам наклона.
Поэтому процедура анализа в этом исследовании включает определение: 1 – общей пропорциональности (далее – ОПП) каждого сосуда в целом по ступеням качеств. ОПП всего сосуда представляет собой соотношение высоты сосуда к его максимальному диаметру; 2 – ОПП тулова и шеи кувшинов; 3 – углов наклона боковой линии костяка плеча-предплечья кувшинов.
Все эти параметры анализируются по ступеням универсальной шкалы качеств, разработанной Ю.Б. Цетлиным [6, таб. 2, 3]. Цель введения такой
шкалы в практику изучения форм сосудов заключается в переводе количественных данных на язык качественных понятий. Использование такого инструмента позволяет решить сразу несколько задач. Во-первых, нивелировать роль случайных колебаний и ошибок измерений сосудов при оценке значимости различий по тем или иным параметрам2. Во-вторых, шкала качеств обеспечивает возможность сопоставления данных по разным памятникам. Конкретные значения ступеней шкал качеств по ОПП и углам наклона представлены ниже, в аналитической части статьи (Таблицы 1, 2).
Основная задача всех проводимых процедур заключается в том, чтобы на основании сочетания указанных параметров выделить на каждом памятнике наиболее массовые и устойчивые традиции создания формы кувшинов.
Завершая описание методических аспектов, нужно сделать одно важное замечание. При изучении кувшинов из Дмитриевского и Ютановского могильников выяснилось, что наиболее ярким «маркером», позволяющим выделять разные культурные традиции, является ОПП тулова сосуда. Этот параметр показывает наиболее тесную связь с пропорциональностью всего сосуда, а также с пропорциональностью и углами наклона функциональных частей.
Поэтому сначала кувшины каждого могильника салтово-маяцкой культуры, которые анализируется в работе, были разделены на две группы по значениям ОПП тулова. Дальнейший анализ включал, во-первых, сравнение всех кувшинов между собой по ОПП сосуда в целом, углам наклона плеча-предплечья (П-ПП) и ОПП шеи отдельно в рамках каждого памятника; во-вторых, сравнение по этим параметрам кувшинов всех исследуемых памятников друг с другом.
Анализ
Первая группа информации, которую мы рассмотрим – это ОПП всего сосуда. Все изучаемые кувшины находятся в пределах значений 22–42 ступеней общей пропорциональности универсальной шкалы качеств (Таблица 1). Однако, каждый из могильников имеет свои особенности.
Таблица 1. Шкала качеств, используемая при анализе ОПП [6, табл. 2].
Table 1. Quality scale used in the analysis of general proportionality [6, tab. 2].
Диапазон в абсолютных значениях | №№ ступени |
0,2738 ‒ 0,2973 | 22 |
0,2974 ‒ 0,3254 | 23 |
0,3255‒0,3534 | 24 |
0,3535‒0,3869 | 25 |
0,3870‒0,4203 | 26 |
0,4204‒0,4602 | 27 |
0,4603‒0,5000 | 28 |
0,5001‒0,5473 | 29 |
0,5474‒0,5946 | 30 |
0,5947‒0,6508 | 31 |
0,6509‒0,7069 | 32 |
0,7070‒0,7738 | 33 |
0,7739‒0,8406 | 34 |
0,8407‒0,9203 | 35 |
0,9204‒1,0000 | 36 |
1,001‒1,094 | 37 |
1,095‒1,188 | 38 |
1,189‒1,301 | 39 |
1,302‒1,413 | 40 |
1,414‒1,547 | 41 |
1,548‒1,681 | 42 |
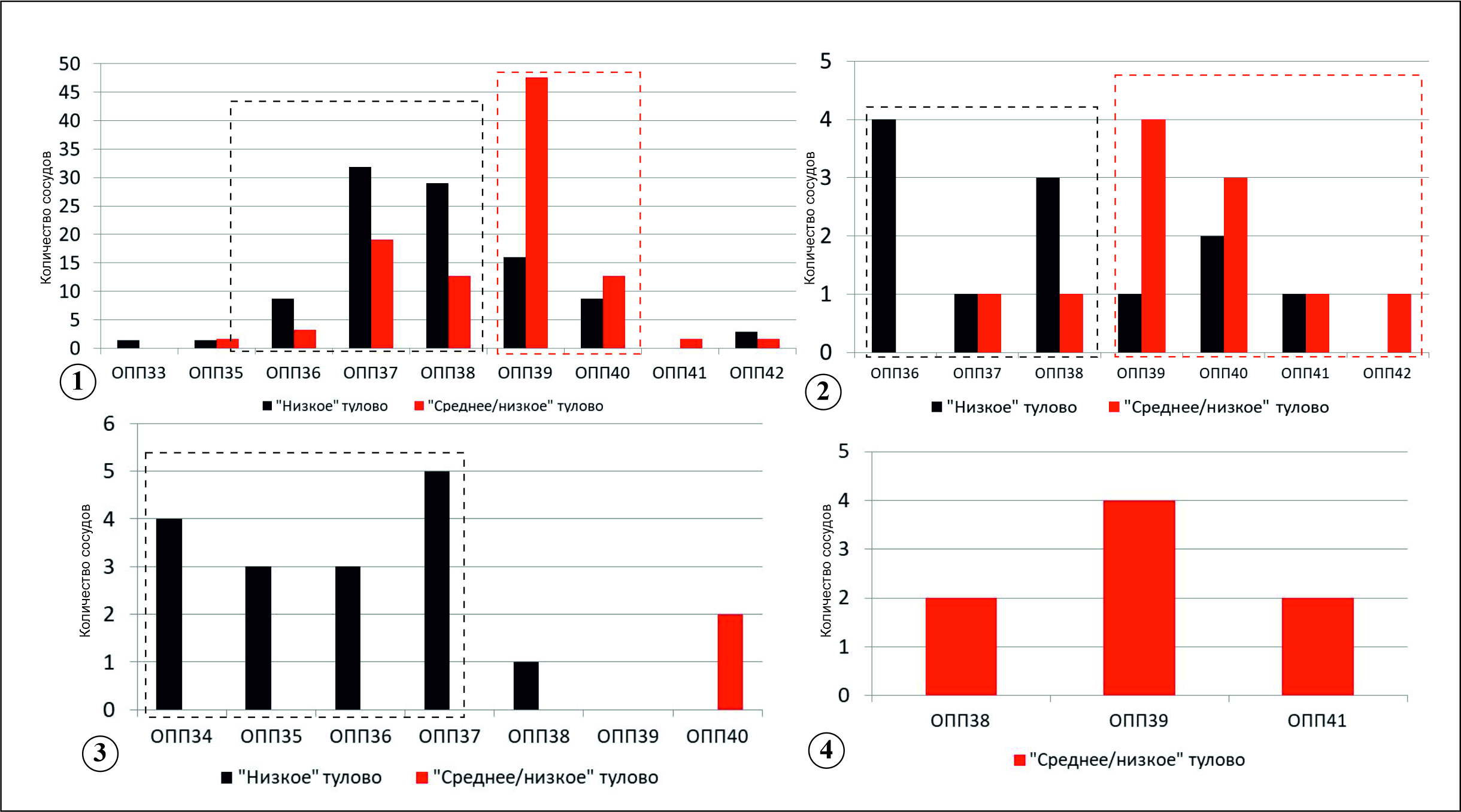
Дмитриевский могильник (рис. 2, 1). На ступенях 33, 35–38 преобладают кувшины с «низким» туловом – 71 сосуд. Кувшинов со «средним/низким» туловом здесь почти в два раза меньше – 36 сосудов. На более высоких ступенях ОПП, в частности, №№ 39–40, соотношение этих двух групп кувшинов противоположное. Здесь доминируют кувшины со «средним/низким» туловом, причем их преобладание почти трёхкратное.
Исходя из полученных данных, можно сделать вывод, что для кувшинов с «низким» и «средним/низким» туловом характерна разная ОПП всего сосуда. Для первых это ОПП ступеней 37‒38, для вторых ОПП ступени 39, на которую приходится выраженный пик распределения.
Нижнелубянский могильник (рис. 2, 2). На ступенях 36–38 преобладают кувшины с «низким» туловом – 8 сосудов. Кувшинов со «средним/низким» туловом здесь всего 2. Обратное соотношение этих групп зафиксировано на ступенях 39–42. Здесь преобладают кувшины со «средним/низким» туловом – 9 сосудов. 4 кувшина с ОПП 39–42 обладают «низким» туловом.
Таким образом, для кувшинов с «низким» туловом наиболее характерная ОПП всего сосуда соответствует ступеням 36‒38, а для кувшинов со «средним/низким» туловом ступеням 39–40.
Подгоровский могильник (рис. 2, 3). На этом памятнике почти все кувшины имеют «низкое» тулово. Большинство из них по ОПП всего сосуда занимают ступени 34–37, а один сосуд относится к ступени 38. Два кувшина со «средним/низким» туловом имеют гораздо более высокую ОПП и занимают ступень 40.
Старосалтовский могильник (рис. 2, 4). Все кувшины с этого памятника имеют «среднее/низкое» тулово. По 2 сосуда относятся к ступеням 38 и 41, 4 сосуда относятся к ступени 39.
Рубежанский могильник (рис. 3, 1). Из 8 кувшинов этого могильника, 6 имеют «низкое» тулово, причем, 5 из 6 таких сосудов относятся по своей ОПП к ступени 39. Один сосуд соответствует ступени 37. О кувшинах со «средним/низким» туловом, из-за малого их количества, ничего определенного сказать нельзя. Один такой сосуд занимает ступень 39, другой – ступень 40.
Ютановский могильник (рис. 3, 2). Большинство кувшинов из этого памятника имеют «низкое» тулово. По два сосуда относятся к ступеням 36, 37 и 39. Весьма условный максимум, на который приходится 4 кувшина, наблюдается на ступени 38. Кувшины со «средним/низким» туловом расположены на ступенях 39 и 40 – по 2 сосуда на каждой из них.
Подведем итог по данному этапу анализа. На уровне различий по ОПП всего сосуда некоторые сравниваемые памятники проявляют определенное сходство.
Прежде всего, это Дмитриевский и Нижнелубянские могильники. Во-первых, на обоих памятниках сильно выражены различия по ОПП всего сосуда между кувшинами с «низким» и кувшинами со «средним/низким» туловом. Во-вторых, очень близки конкретные границы этих различий. И в Дмитриевском, и в Нижнелубянском могильниках для кувшинов с «низким» туловом наиболее характерна ОПП ступеней 36‒38, а для кувшинов со «средним/низким» – ОПП ступеней 39‒40.
Вторая группа памятников включает Старосалтовский, Рубежанский и Ютановский могильники. Хотя объем материала из этих могильников гораздо более скромен, в отношении них можно отметить две особенности.
Первая состоит в том, что здесь заметно выраженное преобладание только одной группы кувшинов. На Рубежанском и Ютановском это кувшины с «низким» туловом». На Старосалтовском это кувшины со «средним/низким» туловом, причем кувшинов с «низким» туловом здесь нет вообще.
Вторая особенность состоит в отсутствии явной связи разных ступеней ОПП тулова со ступенями ОПП всего сосуда. Например, если в первой группе могильников (Дмитриевка-Нижние Лубянки) ступень 39 характерна в основном для «среднего/низкого» тулова, то здесь на неё приходится пик как у сосудов с «низким» (Рубежанский), так и со «средним/низким» туловом (Старосалтовский). Возможно, отсутствие здесь строгой взаимосвязи связано с небольшим объемом материала.
«Промежуточное» положение занимает Подгоровский могильник. Доминирование одной группы кувшинов – с «низким» туловом – сближает этот памятник со второй группой. Однако ступени ОПП, которые имеют большинство таких сосудов, более характерны для Дмитриевского и Нижнелубянского могильников.
Теперь проведём такое же сравнение памятников по традициям создания формы плеча-предплечья (далее – П-ПП)3. Как и в предыдущем случае, отметим, что диапазон вариаций наклона боковой линии этой обобщенной функциональной части находится в интервале от 21 до 28 ступени (Таблица 2).
Таблица 2. Шкала качеств, используемых при анализе углов
наклона [6, табл. 3].
Table 2. Scale of qualities used in the analysis of the angles [6, tab. 3].
Угол наклона | Абсолютные значения | №№ ступени |
Очень слабый | 100–103° | 21 |
104–107° | 22 | |
Слабый | 108–112° | 23 |
113–117° | 24 | |
Средний/слабый | 118–123° | 25 |
124–129° | 26 | |
Средний | 130–135° | 27 |
136–142° | 28 |
Дмитриевский могильник (рис. 4, 1). На ступенях 22–25 сильное преобладание имеют кувшины с «низким» туловом. На ступени 26 соотношение «низкого» и «среднего/низкого» тулова примерно равное. От ступени 27 и выше преобладают кувшины со «средним/низким» туловом. Таким образом, для кувшинов с «низким» туловом более характерен угол наклона П-ПП 22–25 ступеней, а для кувшинов со «средним/низким» – 27 ступени и выше.
Нижнелубянский могильник (рис. 4, 2). Зафиксировано некоторое сходство с Дмитриевским могильником. На ступенях 24–25 представлены кувшины только с «низким» туловом. На ступенях 26–28 кувшинов с «низким» туловом всего 3, зато кувшинов со «средним/низким» туловом 14 экземпляров.
Подгоровский могильник (рис. 4, 3). Как уже отмечалось, на этом памятнике доминирует группа кувшинов с «низким» туловом. У большинства сосудов углы наклона П-ПП приходятся на ступени 25 и 26. Несколько сосудов соответствуют ступени 24.
Старосалтовский могильник (рис. 4, 4). Все кувшины здесь имеют «среднее/низкое» тулово. У 7 сосудов угол наклона П-ПП соответствует ступени 25. По одному сосуду относятся к ступеням 26 и 27.
Рубежанский могильник (рис. 5, 1). Здесь что-то определенное можно сказать только о кувшинах с «низким» туловом, так как именно эта группа сосудов доминирует на памятнике. Два кувшина по углу наклона относятся к 25 и 4 кувшина к 26 ступени.
Ютановский могильник (рис. 5, 2). Кувшины с «низким» туловом показывают распределение, близкое к нормальному: по 3 сосуда относятся к ступеням 25 и 27, 5 сосудов – к ступени 26. Большинство кувшинов со «средним/низким» туловом (3 из 4 сосудов) соответствуют 25 ступени, а один – 27 ступени.
По итогам данного этапа анализа можно отметить сходства некоторых памятников. Выделяется пара Дмитриевский – Нижнелубянский могильники.
На этих памятниках кувшины с «низким» туловом чаще всего имеют угол наклона П-ПП, соответствующий ступеням 24–25, а кувшины со «средним/низким» туловом – ступеням 26–28 или 27–28. К Дмитриевскому и Нижнелубянскому тяготеет и Подгоровский могильник. У кувшинов с «низким» туловом в Подгоровском могильнике значительная часть сосудов имеет угол наклона П-ПП, соответствующий 25 ступени.
Есть сходство между Старосалтовским, Рубежанским и Ютановским могильниками. Они демонстрируют, если можно так выразиться, противоположный вариант сочетания состояния тулова и угла наклона П-ПП. Для кувшинов с «низким» туловом более характерно П-ПП ступени 26, а у кувшинов со «средним/низким» туловом чаще всего встречается П-ПП ступени 25.
Различие между двумя обозначенными группами памятников выглядит ещё более существенным, если сравнить их по абсолютным значениям угла наклона П-ПП (рис. 6)4 При сравнении кувшинов с «низким» туловом образуются две пары (рис. 6, 1). Первая – Рубежанский и Ютановский могильники. Интервал наиболее плотного распределения значений находится примерно в пределах 124/125 – 132/134°. Вторая пара памятников – Нижнелубянский и Подгоровский могильник. Здесь интервал наиболее плотного распределения значений находится примерно в пределах 114/115 – 125/126°. Если сравнить памятники по углам наклона П-ПП у кувшинов со «средним/низким туловом» (рис. 6, 2), то хорошо видны различия между парой Старосалтовский-Ютановский и Нижнелубянским могильником. В Нижних Лубянсках наибольшая плотность значений приходится на интервал 124–140°, а в Старом Салтове и Ютановке на интервал 117–124°.
Теперь проведём такое же сравнение памятников по традициям создания у кувшинов такой функциональной части как шея.
Дмитриевский могильник (рис. 7, 1). Кувшины с «низким» туловом имеют два максимума распределения значений ОПП шеи. Первый приходится на ступени 29–31, второй – примерно на ступени 33–34. Кувшины со «средним/низким» туловом демонстрируют похожее распределение значений, здесь тоже можно выделить два «блока» в рамках тех же ступеней. Таким образом, на основании полученных данных невозможно выделить интервалы ОПП шеи, характерные для кувшинов с «низким» и «средним/низким» туловом.
Нижнелубянский могильник (рис. 7, 2). Здесь ситуация повторяет картину, зафиксированную в Дмитриевском могильнике. По плотности распределения на диаграмме выделяются два массовых «сгустка», расположенных на ступенях 31–34 и 36–38. Однако в рамках каждого из них мы видим примерно равное соотношение кувшинов с «низким» и «средним/низким» туловом.
Подгоровский могильник (рис. 7, 3). Среди кувшинов с «низким» туловом наибольшая плотность распределения значений приходится на интервал ступеней 26–27 и 29–31. У четырех кувшинов более высокая шея: по одному сосуду приходится на ступени 32, 33, 34, 35. Кувшины со «средним/низким» туловом, представленные на этом памятнике двумя экземплярами, имеют шею 33 и 35 ступеней ОПП.
Старосалтовский могильник (рис. 7, 4). Здесь представлены только кувшины со «средним/низким» туловом. Наиболее характерная для них ОПП шеи соответствует ступеням 33 и 34. По одному сосуду приходится на ступени 28, 31 и 35.
Рубежанский могильник (рис. 8, 1). На этом памятнике показательны данные по кувшинам с «низким» туловом, которые здесь преобладают. Большинство сосудов обладают шеей 38 и 39 ступеней ОПП.
Ютановский могильник (рис. 8, 2). Для кувшинов с «низким» туловом наибольшая плотность значений ОПП шеи приходится на ступени 34‒37. Здесь находятся 8 из 10 таких сосудов. Для кувшинов со «средним/низким» туловом сложнее выделить наиболее характерную ОПП шеи. При этом нужно отметить, что 3 из 4 таких сосудов находятся в интервале, который не характерен для кувшинов со «средним/низким» туловом – это ступени 27 и 33.
По итогам проведенного этапа анализа можно сделать вывод о различиях традиций создания шеи у кувшинов в материалах разных могильников салтово-маяцкой культуры. На основании сходства в этих традициях выделяются две группы памятников.
К первой группе, как и в предыдущих случаях, относится пара Дмитриевский и Нижнелубянский могильники. Их объединяет отсутствие существенных различий в ОПП шеи между кувшинами с «низким» и «средним/низким» туловом. Ко второй группе относятся Старосалтовский, Рубежанский и Ютановский могильники. Несмотря на небольшой объем материала из этих памятников, здесь фиксируются очевидные различия двух рассматриваемых групп сосудов по ОПП шеи. Для кувшинов со «средним/низким» туловом наиболее характерной оказалась относительно более низкая шея, соответствующая по ОПП ступеням 27 и 33–34, а для кувшинов с «низким» туловом – шея, соответствующая 34 и 36–38 ступеням.
Подгоровский могильник, на котором кувшины с «низким» туловом обладают шеей, преимущественно относящейся к ступеням 26-31, нельзя отнести ко второй группе. У кувшинов с «низким» туловом из Рубежанского и Ютановского могильников шея соответствует 34 и 36‒38 ступеням по ОПП, что гораздо выше, чем в Подгоровском. Поэтому у Подгоровского могильника больше сходств с Дмитриевским и Нижнелубянским, где у кувшинов с «низким» туловом такая шея встречается достаточно часто. При этом нужно заметить, что в целом в Дмитриевском и Нижнелубянском могильниках диапазон ОПП шеи у кувшинов с «низким» туловом гораздо шире.
Теперь, после рассмотрения всего комплекса конкретных данных о форме кувшинов из разных могильников, можно обратиться к их более полному сравнительному анализу.
Обсуждение
Сравнение традиций создания форм кувшинов, происходящих из разных погребальных памятниках донских алан, позволяет выявить две группы катакомбных могильников (Таблица 3).
«Ядром» первой группы являются Дмитриевский и Нижнелубянский могильники. Эти памятники показали устойчивое сходство традиций создания форм кувшинов на всех этапах анализа. Их отличают следующие черты:
– у кувшинов с «низким» туловом ОПП всего сосуда соответствует 36‒38 ступеням, а угол наклона П-ПП 24‒25 ступеням;
– кувшины со «средним/низким» туловом относятся к 39-40 ступеням по ОПП всего сосуда и 26‒28 ступеням по углу наклона П-ПП;
– кувшины с «низким» и «средним/низким» туловом не дифференцированы по ОПП шеи.
К Дмитриевско-Нижнелубянской группе тяготеет и Подгоровский могильник, кувшины которого показали большее сходство с традициями именно с этих памятников.
Вторая группа памятников включает Рубежанский, Старосалтовский и Ютановский могильники. Её отличают следующие черты:
– доминирование кувшинов только одного из рангов ОПП тулова – либо с «низким» туловом, либо со «средним/низким» туловом;
– отсутствие выраженной связи разных вариантов ОПП тулова с конкретными ступенями ОПП всего сосуда;
– у кувшинов с «низким» туловом наиболее характерен угол наклона П-ПП 26 ступени, а у кувшинов со «средним/низким» туловом более типична 25 ступень;
– дифференцированность кувшинов с «низким» и «средним/низким» туловом по ОПП шеи. Для кувшинов со «средним/низким» туловом наиболее характерной оказалась относительно более низкая шея, соответствующая по ОПП 27 и 33‒34 ступеням, а для кувшинов с «низким» туловом – шея, соответствующая 34 и 36‒38 ступеням.
Что стоит за выделенными группами – территориальная, хронологическая или этнокультурная близость памятников, вошедших в состав каждой из них?
Памятники, составляющие ядро первой группы, расположены в долинах разных рек: Дмитриевский могильник приурочен к Северскому Донцу,
а Нижнелубянский – к Осколу. То же самое можно сказать и о второй группе могильников. Рубежанский и Старосалтовский могильники расположены в Подонечье, а Ютановский находится в долине Оскола. Судя по этим данным, территориальный фактор вряд ли имеет решающее значение в объяснении сходства памятников по формам кувшинов. Безусловно, нельзя не отметить, что некоторые памятники второй группы – Рубежанский и Старосалтовский могильники – расположены рядом друг с другом. Но здесь важнее, что ни первая, ни вторая группы не показывают строгой приуроченности к одному из микрорегионов в донской лесостепи.
Что можно сказать в отношении датировки этих памятников? В первой группе ситуация такова. На Дмитриевском могильнике присутствуют погребальные комплексы, относящиеся ко всем этапам существования салтово-маяцкой культуры. Нижнелубянский и Подгоровский могильники, судя по элементам поясных гарнитур5, относятся в целом периоду конца VIII–IX вв. Что касается памятников второй группы, Рубежанский могильник относится ко второй половине VIII – началу IX вв. [5, c. 76], Старосалтовский ко второй половине VIII – первой половине IX вв. [4, c. 141], а Ютановский к концу VIII – началу/первой половине IX вв.
Таким образом, мы не можем сказать, что памятники первой и второй групп не синхронны друг другу. И в первой, и второй группах присутствуют комплексы, относящиеся к одним и тем же этапам существования салтово-маяцкой культуры. Это значит, что «хронологическая гипотеза» тоже не находит веских подтверждений.
В пользу третьей гипотезы свидетельствуют не только невозможность принять первые две, но и некоторые независимые данные.
Исследователи раннесредневековых древностей уже предпринимали попытки выделения разных этнокультурных групп в массиве погребальных памятников донских алан. На основании результатов исследования погребального обряда и отдельных категорий находок методами многомерного статистического анализа Г.Е. Афанасьев выделил у донских алан три устойчивые погребальные традиции. По его мнению, они могут указывать на существование в этом обществе трёх разных племенных групп [8, c. 91–92].
Первая такая традиция – Верхнесалтовско-Ютановская. По Г.Е. Афанасьеву эту традицию отличает 14 признаков. Перечислю здесь только наиболее значимые, с моей точки зрения, черты. Ритуал захоронения в соответствии с этой традицией отличается устройством более длинных и глубоких дромосов, более длинных, широких и высоких погребальных камер, положением всех умерших вытянуто на спине независимо от пола, относительно меньшим числом людей, похороненных в одной камере. Данную традицию характеризуют и некоторые особенности в вещевом инвентаре. Например, отсутствие сосудов в дромосе, относительно меньшее число сосудов в камере, высокий процент захоронений с кинжалами и поясными наборами, наличие в могилах, так называемых рогатых пряжек, а также некоторые другие черты.
Среди рассматриваемых в этой статье памятников, этой традиции целиком соответствует вторая группа могильников. Это, собственно, Ютановский, а также Рубежанский и Старосалтовский, которые были введены в научный оборот уже после выделения Г.Е. Афанасьевым разных погребальных традиций в катакомбных могильниках салтово-маяцкой культуры.
Вторая (по Г.Е. Афанасьеву) погребальная традиция донских алан – Дмитриевско-Нижнелубянская6. Она характеризуется более короткими и мелкими дромосами, менее длинными, широкими и высокими камерами, наличием различий по полу в позах погребенных (мужчины лежат вытянуто на спине, женщины – на боку), относительно большим числом людей, похороненных в одной камере, наличием сосудов в дромосах, относительно большим числом сосудов в камерах, отсутствием рогатых пряжек, низкой долей комплексов с поясными наборами, высоким процентом комплексов с луками, стрелами, саблями, а также некоторыми другими чертами.
Именно с этой погребальной традицией соотносится первая (Дмитриевско-Нижнелубянская) группа памятников, выделенная в данной работе. По обрядности к этой же погребальной традиции относится и Подгоровский могильник, показавший большее сходство по традициям создания кувшинов именно с Дмитриевским и Нижнелубянским могильниками, чем со Старосалтовским, Рубежанским и Ютановским.
Похожая группировка катакомбных могильников была получена З.Х. Албеговой по итогам специального анализа амулетов. В соответствии с результатами ее исследования, Верхнесалтовско-Ютановская традиция характеризуется преобладанием амулетов с солярной символикой. Для Дмитриевско-Нижнелубянской традиции характерны амулеты в виде клыков, когтей животных и их металлические подражания [9, c. 20].
Таким образом, отличия катакомбных могильников салтово-маяцкой культуры по традициям создания форм кувшинов соответствуют различиям этих же памятников по погребальной обрядности и некоторым особенностям вещевого набора.
Заключение
Историко-культурные выводы. По итогам системного сравнительного анализа лощеных кувшинов удалось выделить две группы традиций (рис. 9). Первая группа выделена по сосудам Дмитриевского, Нижнелубянского и частично Подгоровского могильников. Вторая группа традиций прослеживается по материалам Старосалтовского, Рубежанского и Ютановского могильников.
Группировка этих катакомбных могильников на основании гончарных традиций полностью соответствует отмеченным Г.Е. Афанасьевым различиям в погребальных обычаях человеческих коллективов, оставивших эти памятники.
Полученные результаты позволяют сделать вывод о том, что разные массовые культурные традиции создания форм кувшинов, которые зафиксированы по катакомбным могильникам салтово-маяцкой культуры, имеют вполне конкретное культурно-историческое содержание. Такие традиции отражают различия навыков создания форм сосудов у гончаров из разных, вероятно, племенных групп алан, заселивших в середине – второй половине VIII в. бассейн Среднего Дона, а также особенности представлений о привычном внешнем облике посуды, бытовавшие в этих группах населения.
Таким образом, выделенные группы традиций создания формы лощеных кувшинов связаны с конкретными человеческими коллективами, идентифицированными по независимым археологическим данным.
Методические выводы. Опыт работы с лощеной посудой салтово-маяцкой культуры, в том числе результаты этой статьи, показывают, что на каждом могильнике есть сосуды, сделанные в соответствии с массовыми традициями создания форм. Такие сосуды преобладают на памятнике.
Но при этом на каждом могильнике есть и сосуды, которые по тем или иным параметрам форм не соответствуют таким массовым традициям. Культурная интерпретация таких сосудов обычно вызывает проблемы. Такие формы могут, либо быть результатом смешения разных массовых традиций, либо являться образцами «импортной» посуды, сделанной носителями не массовых традиций.
Результаты этого исследования дают некоторые зацепки для более аргументированных интерпретаций подобных случаев. Сформулирован набор конкретных «признаков», характеризующих навыки создания форм кувшинов в рамках каждой из двух групп культурных традиций (Таблица 3).
На основании перечня таких признаков теперь можно различать формы кувшинов смешанных (для конкретного могильника) традиций от кувшинов, сделанных носителями традиций другой культурной группы населения. Это делает возможным заключения о сложности культурного состава коллектива, оставившего тот или иной могильник салтово-маяцкой культуры, именно на основании форм кувшинов. Появляется возможность более аргументированно фиксировать факты смешения традиций в рамках конкретного памятника и выстраивать на основании этих данных относительную хронологию сосудов и погребений.
Таблица 3. Сравнительная характеристика традиций создания
формы кувшинов.
Table 3. Comparative characteristics of the jars shapes traditions.
Кувшины с "низким" туловом | Кувшины со "средним/низким" туловом | |
Первая группа традиций (Дмитриевский, Нижнелубянский м-ки) | ||
Общая пропорциональность всего сосуда | Ступени 36‒38 | Ступени 39‒40 |
Угол наклона плеча-предплечья | Ступени 24‒25 | Ступени 26‒28 |
Общая пропорциональность шеи | Нет существенных различий. В целом ≈ ступени 29‒40. | |
Общая пропорциональность всего сосуда | Нет существенных различий | |
Угол наклона плеча-предплечья | Ступень 26 | Ступень 25 |
Общая пропорциональность шеи | Ступени 34, 36‒38 | Ступени 27, 33‒34 |
1 Данные еще не опубликованы.
2 Например, если 5 раз измерить общую пропорциональность одного и того же сосуда (соотношение его высоты к максимальному диаметру), мы, скорее всего, получим пять разных значений. Примерно такой же результат мы получим, если измерения будут проводить разные исследователи. Тем не менее, полученные значения будут весьма близки друг другу. Если мы переведём эти значения на уровень качественных понятий, то все они, вероятнее всего, окажутся соответствующими одной конкретной ступени такой теоретической шкалы.
3 Здесь и далее это понятие обобщает три функциональные части, которые могут находиться в структуре сосуда выше тулова – предплечье (угол наклона до 120°), плечо/предплечье (121‒129°) и плечо (более 130°) [6].
4 На этом графике не приведены данные по Дмитриевскому могильнику.
5 С материалами Нижнелубянского могильника я ознакомился по архивным данным, переданным мне Г.Е. Афанасьевым. Пользуясь случаем, выражаю благодарность Г.Е. Афанасьеву за предоставленную возможность ознакомиться с этими находками. В раскопках и обработке материалов Подгоровского могильника мне довелось принять непосредственное участие.
6 Третья погребальная традиция, выделенная Г.Е. Афанасьевым – Маяцкая. Здесь о ней ничего нет, поскольку материалы Маяцкого комплекса не рассматриваются в этой работе.
https://caucasushistory.ru/2618-6772/editor/downloadFile/1606/2807
https://caucasushistory.ru/2618-6772/editor/downloadFile/1606/2806
https://caucasushistory.ru/2618-6772/editor/downloadFile/1606/2805
https://caucasushistory.ru/2618-6772/editor/downloadFile/1606/2804
https://caucasushistory.ru/2618-6772/editor/downloadFile/1606/2803
https://caucasushistory.ru/2618-6772/editor/downloadFile/1606/2802
https://caucasushistory.ru/2618-6772/editor/downloadFile/1606/2801
https://caucasushistory.ru/2618-6772/editor/downloadFile/1606/2800
Evgeny V. Sukhanov
Institute of Archaeology Russian Academy of Sciences
Author for correspondence.
Email: sukhanov_ev@mail.ru
ORCID iD: 0000-0002-0072-1428
https://www.archaeolog.ru/ru/staff/sukhanov-evgeniy-vladimirovich
Russian Federation, Dm. Ulyanova, 19, Moscow, 117036, Russia
PhD, Scientific Researcher
Department of theory and methods
- REFERENCES
- Sarapulkin VA. Ceramics and ceramic production of the forest-steppe variant of the Saltovo-Mayaki culture (dissertation) [Keramika i keramicheskoe proizvodstvo lesostepnogo varianta saltovo-mayackoj kul'tury] Voronezh; 2003. (In Russ.).
- Pletneva SA. On the Slav-Khazar border (Dmitrievsky archaeological complex) [Na slavyano-hazarskom pogranich'e (Dmitrievskij arheologicheskij kompleks)]. Moscow: Nauka, 1989. (in Russ.).
- Pletneva SA. Studies of the Khazar archaeology [Ocherki hazarskoj arheologii]. Moscow, Jerusalem: Mosty kul’turi Publ, Gesharim Publ., 1999. (In Russ.).
- Aksenov VS. Starosltovsky catacomb burial ground [Starosaltovskiy katakombnyy mogil'nik]. Vita Antiqua. 1999; 2: 137-149. (In Russ.).
- Aksenov VS. Rubezhansky catacomb burial ground of the Saltovo-Mayaki culture on the Seversky Donets [Rubezhanskij katakombnyj mogil'nik saltovo-mayackoj kul'tury na Severskom Donce]. Donskaya arheologiya. 2001; № 1-2: 62-78. (In Russ.).
- Tsetlin YB. On the general approach and method of systematic study of the shapes of clay vessels. In: Tsetlin Yu.B, editor. Shapes of clay vessels as an object of study. Historical-and-cultural approach [Formy glinyanyh sosudov kak ob"ekt izucheniya. Istoriko-kul'turnyj podhod]. Moscow: IA RAS Publ., 2018: 124-179. (In Russ.).
- Sukhanov EV. Cultural traditions of jars shapes of the Saltovo-Mayaki culture (on the example of the Dmitrievsky burial ground) [O khudozhestvennykh traditsiyakh sozdaniya form kuvshinov saltovo-mayatskoy kul'tury (na primere Dmitriyevskogo mogil'nika)]. Bulletin «History of ceramics» [Vestnik «Istoriya keramiki»]. Vol. I. Moscow: IA RAS Publ., 2019: 114-129. (in Russ.)
- Afanasiev GE. Don Alans: social structures of the Alano-Asso-Burtas population of the Middle Don basin [Donskie alany: social'nye struktury alano-asso-burtasskogo naseleniya bassejna Srednego Dona]. Moscow: Nauka Publ., 2003. (in Russ.)
- Albegova ZH. On the question of the religion of the Alans (based on the amulets of the Saltovo-Mayaki culture) [K voprosu o religii alan (po materialam amuletov saltovo-mayackoj kul'tury)]. Databases in archaeology. Computer in archaeological research. [Bazy dannyh v arheologii. Komp'yuter v arheologicheskih issledovaniyah]. Moscow, 1995: 10-33. (in Russ.).
Supplementary files
| Supplementary Files | Action | ||
| 1. | Fig. 1. Сatacomb burial grounds of Saltovo-Mayaki culture. 1 – Dmitrievsky, 2 – Rubezhansky, 3 – Verhnesaltovsky, 4 – Starosaltovsky, 5 – Afonyevsky, 6 – Yutanovsky, 7 – Nizhnelubyansky, 8 – Podgorovsky, 9 – Khutoretsky, 10 – Mayatsky | View (3MB) | Indexing metadata |
| 2. | Fig. 2. General proportionality of jars. 1 – Dmitrievsky burial ground, 2 – Nizhnelubyansky burial ground, 3 – Podgorovsky burial ground, 4 – Starosaltovsky burial ground | View (3MB) | Indexing metadata |
| 3. | Fig. 3. General proportionality of jars. 1 – Rubezhansky burial ground, 2– Yutanovsky burial ground | View (2MB) | Indexing metadata |
| 4. | Fig. 4. Angle of shoulder-brachium of jars. 1 – Dmitrievsky burial ground, 2 – Nizhnelubyansky burial ground, 3 – Podgorovsky burial ground, 4 – Starosaltovsky burial ground | View (3MB) | Indexing metadata |
| 5. | Fig. 4. Angle of shoulder-brachium of jars. 1 – Rubezhansky burial ground, 2– Yutanovsky burial ground | View (2MB) | Indexing metadata |
| 6. | Fig. 6. Angle of shoulder-brachium of jars. 1 – jugs with a "low" body, 2 – jugs with a "medium/low" body | View (2MB) | Indexing metadata |
| 7. | Fig. 7. General proportionality of neck of jars. 1 – Dmitrievsky burial ground, 2 – Nizhnelubyansky burial ground, 3 – Podgorovsky burial ground, 4 – Starosaltovsky burial ground | View (3MB) | Indexing metadata |
| 8. | Fig. 8. General proportionality of neck of jars. 1 – Rubezhansky burial ground, 2 – Yutanovsky burial ground | View (2MB) | Indexing metadata |
| 9. | Fig. 9. An example of different jars shape traditions (without scale). 1, 2, 5, 6 – traditions of the first group, 3, 4, 7, 8 – traditions of the second group. 1-4 - jugs with a "low" body, 5-8 – jugs with a "medium/low" body. 1, 2, 5, 6 – Dmitrievsky burial ground, 3 – Yutanovsky burial ground, 4, 7, 8 – Starosaltovsky burial ground | View (2MB) | Indexing metadata |
Views
Abstract - 1280
PDF (Russian) - 463
Article Metrics
Metrics powered by PLOS ALM



